Purpose
The aromatic components of citrus fruits were analyzed using a time-of-flight mass spectrometer equipped with a ChemZo ion source.

Methods
| Ion Source | ChemZo (BioChromato) |
| Mass Spectrometer | compact QTOF (Bruker) |
| Measurement Method | Room temperature measurement: The peels (3g) of citrus fruits (kumquat, and three other types labeled A, B, and C, along with navel orange) were placed in a sample tube and introduced into the mass spectrometer via a tube. Temperature gradient measurement: The peels (25 mg) of these citrus fruits were heated to 200°C using a temperature gradient device, and the thermally desorbed components were introduced into the MS. (Only the data for Citrus C is presented on this page.) |
| Data Processing | The aromatic components were extracted from the mass spectrum using Spectra Scope and Data Analysis software. |

Results
Citrus fruit peels are known for their refreshing aroma, making them a key ingredient in characterizing dishes and sweets, and they are known to contain bioactive components. In this experiment, the volatile components emitted from kumquat, which is consumed raw, and four other citrus types (mainly used in processed foods through heating) were analyzed through room temperature and temperature gradient measurements, allowing a comparison across different citrus types. Fig. 1 shows the volatile components extracted during the room temperature measurement using Spectra Scope. Ions that increased significantly compared to the background can be considered as candidate aromatic components characteristic of each citrus.

Fig. 2 shows the mass spectra of each sample. The attribution of the mass spectra was performed by comparing them with standard samples. Comparing the mass spectra revealed that similar aromatic components were detected from the peels of all citrus fruits. On the other hand, it was found that the ratios of the aromatic components slightly differed among the samples, suggesting that these differences may be one of the factors that characterize the aroma of citrus fruits.
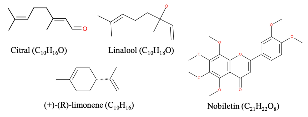
Fig. 3 shows the mass spectrum of citrus C peel during the temperature gradient measurement. The m/z 403.1384 was identified as nobiletin, which is present in citrus peels, based on its exact mass and calculated chemical formula. Nobiletin is a type of flavonoid known to have bioactive effects, such as anti-inflammatory and anticancer properties, but it was hardly detected in kumquat, which is consumed raw. Additionally, related compounds, C20H20O7 and C19H18O6, likely corresponding to nobiletin analogs, were also detected.
As demonstrated, using ChemZo as the ion source allowed for the convenient analysis of both volatile aromatic components that evaporate at room temperature and thermally desorbed components released upon heating, all with the same ion source.



